个人成长 | 专题销售 | 团队管理 | 寿险实务 | 职业经理人 | 早会经营 | 寿险培训

   保险软件 | 保险销售 | 增员专题 | 宣传企划 | 代理人考试 | 搜索资料 | 最新更新

 

 当前位置:首页>寿险培训>>产品培训>>正文

 


信泰人寿千万人生养老年金保险基本保险金额表.rar
 


所在类别: 寿险培训/产品培训
文件类型: RAR
文件大小: 95kb
资源语言: 简体中文

 

  【资料简介】

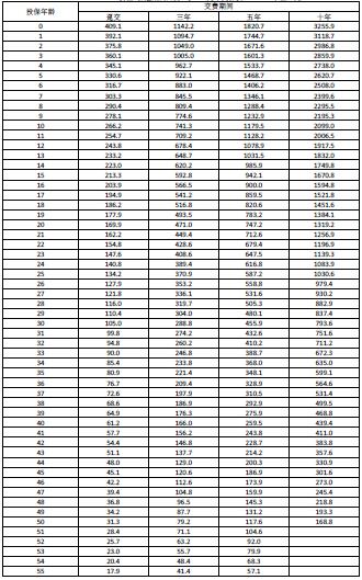
信泰人寿千万人生养老年金保险基本保险金额表

信泰人寿千万人生养老年金保险基本保险金额表.rar

...........

 

 

加入圈中人寿险资源网的方法】 

一、圈中人寿险资源网会员价格: 

会员类别

会员价格

下载权限

支付方式

年度会员

138元/年

可下载所有资料3000个

微信支付/支付宝/淘宝支付


二、圈中人寿险资源网付款方式:

>>先免费注册会员  1.微信支付  2.支付宝支付  3.手机支付宝  4.淘宝网支付   

咨询电话0755-21659566 13652320211       微信咨询: 13625320211      530889602


圈中人寿险资源网与其他同类网站比较优势
      1、价格优势:本站价格经济实惠,多年来一直坚持让利客户;
      2、服务优势:订购本站年卡的,可在本站送卡区域内提供送卡上门、卡到付款的服务,让您免去汇款繁琐;
      3、经营优势:本站属深圳市圈中人电子商务有限公司经营,让您的合法权益能得到最大程度的保障,免除您对其他同类个人网站有随时关闭的担忧,还可提供正规的发票。为保护您的合法权益,本站提醒您在比较其他同类网站时,请注意该网站是否属于公司合法经营的网站。
  本类最新排行

  ·银保专题之客户经营的概念意识及其重要性(24页)
  ·保险理念之国人怎样养老在哪养老(11页).ppt
  ·保险组训的角色定位工作职责及职涯规划(37页).
  ·保险理念之讲故事谈保险(27页).ppt
  ·保险理念之购买重疾险的理由(9页).ppt
  ·保险公司训练营总结模板(11页).ppt
  ·保险培训之递送保单与售后服务(12页).ppt
  ·保险新人训练营入营仪式流程模板(33页).ppt
  ·寿险产品基础知识培训(12页).ppt
  ·保险培训之三讲的意义思维及其运用流程(36页).
  ·保险培训之礼仪的概述及基础礼仪与礼节(36页).
  ·保险理念之中国人的健康(20页).ppt
  ·保险培训之目标的重要性及新人的目标与行动方案制定
  ·保险理念之人生的健康风险管理(15页).ppt
  ·养老社区销售关键理念及其行动与话术(11页).p
  ·保险理念之最合理稳健的家庭资产分配方式(10页)

  本类热门排行

  ·客户拜访(13页).PPT
  ·新人销售的最有效利器(23页).PPT
  ·新人培训训前(38页).PPT
  ·为什么做保险(39页).PPT
  ·快乐营销(51页).PPT
  ·成功源于专业(20页).PPT
  ·新人辅导经典---28UP(49页).PPT
  ·与公司共命运(55页).PPT
  ·保险新人快捷入门(52页).PPT
  ·主管管理之道(61页).PPT
  ·讲师授课技巧(39页).PPT
  ·放飞你的心情(20页).PPT
  ·2009年新人训练流程(15页).PPT
  ·分红方式及优势介绍(42页).PPT
  ·新人培训训前课件(26页).PPT
  ·网点人员的培训与辅导(35页).PPT

关于我们 - 联系我们 - 会员注册 - 网站地图

版权所有:深圳市圈中人电子商务有限公司     本网法律顾问:大成律师事务所 贾锐律师
联系电话:0755-21659566 13652320211  客服QQ530889602(认证信息“圈中人”)
Copyright © 2000-2011
QZR
BX.COM All Rights Reserved
粤ICP备05047908号
粤公网安备 44030502000421号